Skip to main content

Using cohesive elements to model delamination in a lap shear experiment

Submitted by Reuben Govender on

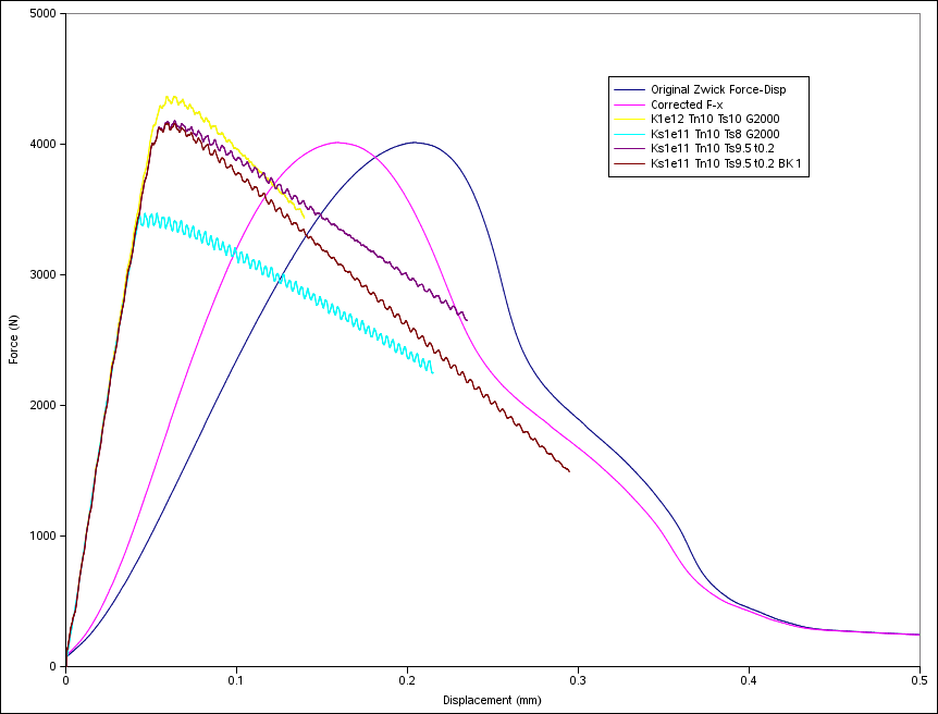
I have conducted single lap shear tests on aluminium laminates, bonded with a polypropylene film adhesive, and am now trying to model the experiments. I am using cohesive elements, with a bi-linear traction separation law to model the adhesive layer. I can obtain reasonable agreement for the peak force, using the nominal shear stress obtained by experiment as the stress at which the cohesive element begins to soften. However, the initial slope of the computation force-displacement curve is approximately double that of the experiment. I am using a penalty stiffness of the order of 1e12 N/m^3 which is already low in comparison to most K values quoted in the literature. I have tried stiffness values 2-3 orders of magnitude lower, which does not change the F-d slope at all. If I drop K even lower, the computation becomes unstable. This is all fairly consistent with what I have seen in the literature about cohesive elements.

My question is whether anyone is familiar with published research on modelling of "pure shear" with cohesive elements? I know that a lap shear specimen is not "pure shear" but it is definitely more Mode I than Mode II. All of the literature I have come across so far focusses on test geometries where the slope of the global force displacement curve is governed by something other than the cohesive element (e.g. in a double cantilever beam experiment the bending stiffness of the cantilevers drives the initial force-displacement response) - in most of the published experiments the displacements are at least on the millimeter scale and in most cases final displacements  are in 10s of mm. In my experiments peak load occurs at at a displacement of  0.15mm(after correcting for test frame compliance).

 

Attachment Size
LapShear_force_displacement.png 69.85 KB

Hi Reuben,

I came across this post while searching for modeling pure shear using cohesive elements. I am using an Iosipescu specimen to determine shear and fracture properties of bonded polymers. By obtaining fracture properties at the crack tip, I can show that a cracked Iosipescu specimen is under pure Mode II loading.

I am also trying to model the shear failure using cohesive elements, but I have not been too successful. Have you got any answers to your questions on pure shear modeling?

Arun

Thu, 01/28/2010 - 18:39 Permalink

Hi Arun

I'm somewhat sceptical about "pure shear" experiments, especially for any laminar or  bonded materials. My reasoning is that methods such as the Iosipescu test, or asymmetrical 4 pt shear, do not create pure shear except for an infinitessimally small region of the specimen. If one moves away from the position of pure shear by a small amount, the material is subject to a complex stress state. As I alluded to in my earlier post, lap shear is not "pure shear". Indeed if the line of shear does not align perfectly with the line of application of force, there will be some tensile or compressive stress imposed. Also as the test progresses, the asymmetric application of the forces to each leg cause bending, which superimposes on the shear.

 

I have been successful in running models of ENF tests (which are nominally pure mode II fracture) in Abaqus. I hesitate to claim successful modelling of shear, as while the global responses (such as force-displacement histories) of the model compare well to experiment, there are still some details on an element scale level that I am not happy about. Also just getting the simulations with cohesive elements to run to completion is a non-trivial exercise. Quasi-static simulations of cohesive elements do not converge very quickly, and often require some tweaking of solver parameters to achieve convergence.  

 

 

 

 


Fri, 01/29/2010 - 14:32 Permalink