Skip to main content

Journal Club for May 2023: Strength Revisited: One of Three Basic Ingredients Needed for a Complete Macroscopic Theory of Fracture

Submitted by Oscar Lopez-Pamies on

1. Introduction

Because of its overwhelming pervasiveness and high-stakes impact on the mechanical performance of structures made of inorganic and live matter alike (bridges, airplanes, bones, ligaments,...), fracture has attracted the attention of humans, researchers and laymen the same, for centuries.

In spite of this long-sustained interest, a complete macroscopic theory of fracture — that is, a theory capable of describing and predicting when and where cracks nucleate and how they subsequently propagate in a structure of arbitrary geometry made of an arbitrary solid subjected to arbitrary loading conditions — has remained elusive. In other words, we still do not have the "F=ma" of fracture.

A contributing factor to this stalemate is that most of the research effort has focused on the growth of pre-existing cracks, while much less effort has been devoted to the nucleation of cracks. Perhaps more detrimental has been the fact that these two efforts have been pursued disconnected from one another, which has prevented a holistic approach to the problem.

Growth of cracks. Indeed, following in the footsteps of Griffith [1] and Irwin [2], the vast majority of researchers have solely focused on the study of the critical loading conditions at which pre-existing cracks grow in hard materials. Following in the footsteps of Griffith [1], Rivlin and Thomas [3], and Greensmith and Thomas [4], numerous researchers have also focused on the same specific problem in soft materials. 

Nucleation of cracks. On the other hand, following in the earlier footsteps of Lamé and Clapeyron [5] and other founding fathers of solid mechanics (see Section 83 in the classic monograph by Love [6]), other researchers have fixated on the study of the critical loading conditions at which cracks nucleate in bodies without pre-existing cracks (but that possibly contain weaker geometric singularities, such as sharp and smooth corners).  There are those that have focused on hard materials; see, e.g., the review contained in Chapter 10 of Munz and Fett [7]. Others have focused on soft materials. Most notably, following in the footsteps of Gent and Lindley [8], they have focused on the nucleation of cracks within the bulk of elastomers, a phenomenon that has become popularly known as cavitation.

In this context, it seems sensible that a necessary first step towards formulating a complete macroscopic theory of fracture must be to identify the basic ingredients that any such theory must account for. This has been recently done in [9,10] for the basic case of nominally elastic brittle materials, that is, materials that respond in one of two ways to mechanical forces: they either deform elastically or create new surface (i.e., they fracture). Two prominent examples of nominally elastic brittle materials are glass and rubber at room temperature.

Precisely, as elaborated in [9,10], there are three basic ingredients that any attempt at a complete macroscopic theory of fracture must account for:

  1. the elasticity of the material,
  2. its strength, and
  3. its intrinsic fracture energy or critical energy release rate

This is because experimental observations gathered over the past century on numerous nominally elastic brittle ceramics, metals, and polymers alike have shown that nucleation of fracture 

  • in a body under a uniform state of stress is governed by the strength of the material,
  • from large† pre-existing cracks is governed by the Griffith competition between the elastic energy and the intrinsic fracture energy,
  • under any other circumstance (e.g., from boundary points, smooth or sharp, small pre-existing cracks, or any other subregion in the body under a non-uniform state of stress) is governed by an interpolating interaction among the strength and the Griffith competition,

while propagation of fracture

  • is, akin to nucleation from large pre-existing cracks, also governed by the Griffith competition between the elastic and fracture energies.

Out of the three basic ingredients 1-3, the strength is the one that has been more often misunderstood, or outright forgotten, in the literature. This blog aims at providing a clear and complete definition of strength and at illustrating its role in the phenomenon of fracture nucleation at large.

 

2. Definition of strength for elastic brittle materials

When a macroscopic piece of the elastic brittle material of interest is subjected to a state of monotonically increasing uniform but otherwise arbitrary stress, fracture will nucleate from one or more of its inherent microscopic defects at a critical value of the applied stress. The set of all such critical stresses defines a surface in stress space. In terms of the Cauchy stress tensor σ, we write

 

Alternatively, in terms of the first Piola-Kirchhoff stress tensor S, we write

Of course, the description of strength can be done in any other stress measure of choice; however, not all of them are equally convenient [11].

The following remarks are in order.

  • The strength surface (1) is an intrinsic macroscopic material property. As such (much like the Young's modulus E and Poisson's ratio ν), it can be directly measured from experiments.
  • The experimental measurement of the entire strength surface (1) is difficult. This is because it is extremely challenging to subject a specimen to uniform states of stress spanning all triaxialities.

Indeed, while experiments to measure the uniaxial tensile strength  — that is, the point defined by the equation  — are, in general, fairly accessible, experiments that probe triaxial states of stress on the strength surface (1) are challenging. 

Figure 1. The experiments of Sato et al. [12] to measure the strength of IG-11 graphite. (a) Typical nucleated cracks in thin-walled tubes subjected to a combination of pressurization and axial loading. (b) Plot of the principal stress  in terms of the principal stress  at fracture nucleation; the results correspond to the case when . (c) Plot of the Drucker-Prager strength surface (3), fitted to the experimental data, in the space of all three principal stresses .

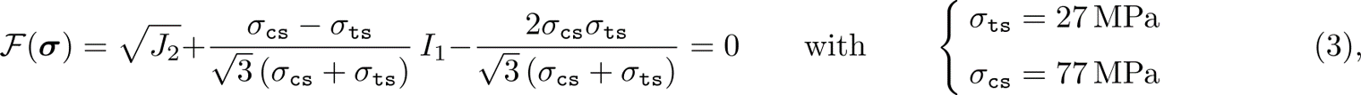
For hard materials, a popular test that has been successfully used to probe triaxial stress states of the approximate form  is that of thin-walled tubes that are subjected to internal and external pressurization  at the same time that they are axially loaded. By way of an example, Fig. 1 reproduces the strength results for IG-11 graphite obtained by Sato et al. [12] using such a test. The plots in Fig. 1 include the fit of the experimental data (solid circles) by the Drucker-Prager strength surface

where

 

so as to aid in the visualization of the crucial aspect that the strength of a material is characterized by an entire surface in stress space, and not by just a single point in that space, as often suggested (consciously or not) in the literature.

  • Physically, the strength surface (1) is the macroscopic manifestation of the presence of microscopic defects in the material. These can be of different natures. Furthermore, their size and spatial variations are inherently stochastic. These variations are most acute when comparing material points within the bulk of the body with material points on its boundary, since different fabrication processes or boundary treatments (such as polishing or chemical treatments) can drastically affect the nature of boundary defects vis-a-vis those in the bulk.

It is for this reason that the strength surface (1) is an intrinsic material property that is inherently stochastic.

By way of examples, in a sintered ceramic, a common type of defect is that of pores at grain boundaries; see Fig. 2. In an elastomer, a common type of defect is that of an inhomogeneous distribution of cross-links [14].

 

Figure 2. Scanning electron micrograph of a sintered alumina specimen [13]. In this class of material systems, pores at grain boundaries (showing as bright spots in the image) are a common type of defect.

 

3. The role of the strength in the nucleation of fracture

In a typical boundary-value problem, the resulting stress field throughout the body will be generally not uniform. In cases when the body is subjected to concentrated loads (e.g., applied by an indenter) or when it features a rapid change in geometry (e.g., corners), the stress field will be in fact highly non-uniform — and possibly singular — around those concentrated loads and geometric features.

As noted in the Introduction, nucleation of fracture in this typical scenario is governed neither solely by strength nor solely by the Griffith competition between the elastic and fracture energies, but by an "interpolation" between the two.

 

Figure 3. The experiments of Kimoto et al. [15] on alumina illustrating the transition from strength-dominated to Griffith-dominated nucleation of fracture as the size  of the crack increases from  = 0.80 μm to  = 0.55 mm. (a) Schematic of the geometry of the specimens (thickness 5 mm) and applied boundary conditions. (b) Plot of the experimentally measured critical stress σ at which fracture nucleates from the crack as a function of its size . For direct comparison, the plot includes the predictions of nucleation based on strength (orange dotted line) and based on the Griffith competition between the elastic and fracture energies (black dashed line).

A classical test that illustrates this behavior is that of plates containing an edge crack of sizes varying from "small" to "large" that are subjected to a tensile force perpendicular to the crack. Figure 3 reproduces the results for alumina  obtained by Kimoto et al. [15] from such a test, wherein the size  of the crack was varied from  = 0.80 μm to  = 0.55 mm. 

The results show that for crack sizes  < 0.01 mm, nucleation of fracture is characterized by the strength of the material, in this simple case, its uniaxial tensile strength =210 MPa. This is because crack sizes  < 0.01 mm are comparable to the size of the largest underlying defects, which makes the crack appear as just one more inherent defect.

On the other hand, the results show that for crack sizes  > 0.25 mm, nucleation of fracture is characterized by the Griffith competition between the elastic and fracture energies. Precisely, the black dashed line in Fig. 3 corresponds to the classical formula reported, e.g., in Chapter 2 of the handbook by Tada et al. [16], for the critical tensile stress at which a pre-existing single-edge crack of size  in a plate of width  and length  grows. In this case, =6 mm, =40 mm, E=335 GPa, =26.8 N/m.

Finally, for crack sizes in the intermediate range  ∈ [0.01, 0.25] mm, the results  show that nucleation of fracture is indeed characterized by an interpolation between the strength and the Griffith competition between the elastic and fracture energies.

In a nutshell, roughly speaking, whether the nucleation of fracture in a given boundary-value problem is dominated more by the strength or by the Griffith competition between the elastic and fracture energies depends on the level of non-uniformity of the stress field. If the stress field varies in space slowly, then the nucleation of fracture will be dominated by the strength and, viceversa, if the spatial gradient of the stress field is large, then the nucleation of fracture will be dominated by the Griffith competition.

 

3.1 A famous problem of fracture nucleation that is strength dominated: The poker-chip experiment

A famous problem of fracture nucleation where the stress field varies in space slowly — and hence one where the strength of the material is dominant — is the so-called poker-chip experiment on elastomers; see Fig. 4.

Figure 4.  Schematic of the poker-chip experiment in (a) the undeformed configuration and in (b) a deformed configuration at an applied deformation  and corresponding tensile force . The diameter-to-thickness ratio of the elastomer disk, which is firmly bonded to the stiff fixtures, is typically chosen to be in the range ∈[2,50].

In a pioneering contribution, Gent and Lindley [8] famously carried out poker-chip experiments on natural rubber of various cross-link densities. For thin poker-chips (>30), they showed that one or a few penny-shaped cracks nucleate around the center of the specimen at a critical force . Upon further loading, the nucleated cracks exhibit limited propagation, instead, they mostly deform and more cracks of the same penny-shaped geometry are nucleated at adjacent locations on and around the midplane of the specimen. The nucleation of new adjacent cracks together with the limited propagation of all previously nucleated cracks continues until the entire midplane of the specimen — save for a boundary layer surrounding its free edge — is substantially populated with cracks.

In a recent contribution, Kumar and Lopez-Pamies [17] have shown that the process of nucleation of cracks observed by Gent and Lindley [8] is indeed dominated by the strength — in particular, the hydrostatic strength — of the rubber. They have also shown that the propagation (or lack of) of the nucleated cracks is governed by the Griffith competition between the elastic and fracture energies of the rubber; see Figs. 5(a,b) for one of the comparisons between theory and experiment included in [17].

Figure 5. Nucleation of fracture in poker-chip experiments on natural rubber. (a,b) Comparison between an experiment of Gent and Lindley [8] and the theoretical predictions in [17] for the post-mortem image of the midplane of a poker-chip specimen of rubber D with diameter-to-thickness ratio =33. (c) Plot of a Drucker-Prager strength surface, fitted to the experimental data of the rubber D studied by Gent and Lindley [8], in the space of all three principal nominal stresses .

Key to the behavior observed in their experiments is the fact that vulcanized natural rubber has a weak hydrostatic strength , compared to its uniaxial  and biaxial  tensile strengths. Precisely, for the rubber D studied by Gent and Lindley [8], =2.9 MPa, compared to =11 MPa and =14 MPa; all these stress quantities correspond to nominal and not Cauchy stresses. Figure 5(c) shows a Drucker-Prager strength surface fitted to these values to aid in the visualization of the key feature that the hydrostatic strength  — that is, the point defined by the equation  — of rubber is weak.

In contrast to natural rubber, as is the case for most hard materials (see, e.g., Fig. 1(c)), other elastomers may have a hydrostatic strength  that is stronger than their uniaxial  and/or biaxial  tensile strengths. That is the case, for instance, for lightly cross-linked PDMS Sylgard 184 for which / ∈ [1,2] [11]. This type of strength behavior can result in the first nucleation of fracture during a poker-chip experiment to take place away from the center of the specimen [18]. This is precisely what has been recently observed in poker-chip experiments on PDMS Sylgard 184 with a 30:1 ratio (by weight) of PDMS base to curing agent [19]. This result highlights yet again the prominent role that the strength of a material — as characterized by its entire strength surface (1) — plays in the nucleation of fracture.

 

4. Final comments

We hope that this blog will bring some clarity to the often misunderstood and neglected concept of strength and that, in so doing, it will motivate experimentalists to measure, not just the elasticity and intrinsic fracture energy of materials, but also their strength surface.

By the same token, we also hope that this blog will encourage a holistic approach to the study of fracture, one where fracture nucleation and propagation are considered for what they are: two intimately related parts of the same problem. 

 

Footnotes

"Large" refers to large relative to the characteristic size of the underlying heterogeneities in the material under investigation. By the same token, "small" refers to sizes that are of the same order or just moderately larger than the sizes of the heterogeneities. 

References

[1] Griffith, A.A., 1921. The phenomena of rupture and flow in solids. Philos. Trans. R. Soc. Lond. A  221, 163-198.

[2] Irwin, G.R., 1948. Fracture dynamics. In: Fracturing of Metals. Amer. Soc. For Metals, pp. 147-166.

[3] Rivlin, R.S., Thomas, A.G., 1953. Rupture of rubber. I. Characteristic energy for tearing. Journal of Polymer Science 10, 291-318.

[4] Greensmith, H.W., Thomas, A.G., 1955. Rupture of rubber. III. Determination of tear properties. Journal of Polymer Science 18, 189-200.

[5] Lamé, G., Clapeyron, B.P.E., 1833. Memoire sur l'equilibre interieur des corps solides homogenes. [Memoir on the internal equilibrium of homogeneous solid bodies.] Paris, Mem. Par Divers Savants. pp 145-169.

[6] Love, A.E.H., 1906. A Treatise on the Mathematical Theory of Elasticity. Cambridge University Press, Cambridge.

[7] Munz, D., Fett, T., 1999. Ceramics: Mechanical Properties, Failure Behaviour, Materials Selection. Springer.

[8] Gent, A.N., Lindley, P.B., 1959. Internal rupture of bonded rubber cylinders in tension. Proc. R. Soc. Lond. Ser. A Math. Phys. Eng. Sci. 249, 195-205.

[9] Kumar, A., Francfort, G.A., Lopez-Pamies, O., 2018. Fracture and healing of elastomers: A phase-transition theory and numerical implementation. Journal of the Mechanics and Physics of Solids 112, 523-551.

[10] Kumar, A., Bourdin, B., Francfort, G.A., Lopez-Pamies, O., 2020. Revisiting nucleation in the phase-field approach to brittle fracture. Journal of the Mechanics and Physics of Solids 142, 104027.

[11] Kumar, A., Lopez-Pamies, O., 2020. The phase-field approach to self-healable fracture of elastomers: A model accounting for fracture nucleation at large, with application to a class of conspicuous experiments. Theoretical and Applied Fracture Mechanics 107, 102550.

[12] Sato, S., Awaji, H., Kawamata, K., Kurumada, A., Oku, T., 1987. Fracture criteria of reactor graphite under multiaxial stresses. Nuclear Engng. Design 103, 291-300.

[13] Kovar, D., Bennison, S.J., Readey, M.J., 2000. Crack stability and strength variability in alumina ceramics with rising toughness-curve behavior. Acta Materialia 48, 565-578.

[14] Valentin, J.L., Posadas, P., Fernandez-Torres, A., Malmierca, M.A., Gonzalez, L., Chasse, W., Saalwachter, K., 2010. Inhomogeneities and chain dynamics in diene rubbers vulcanized with different cure systems. Macromolecules 43, 4210-4222.

[15] Kimoto, H., Usami, S., Miyata, H., 1985. Flaw size dependence in fracture stress of glass and polycrystalline ceramics. Transactions of the Japan Society of Mechanical Engineers Series A 51, 2482-2488.

[16] Tada, H., Paris, P. C., Irwin, G. R., 1973. The Stress Analysis of Cracks Handbook 3rd Edition. The American Society of Mechanical Engineers, New York.

[17] Kumar, A., Lopez-Pamies, O., 2021. The poker-chip experiments of Gent and Lindley (1959) explained. Journal of the Mechanics and Physics of Solids 150, 104359.

[18] Kamarei, F., Kumar, A., Lopez-Pamies, O., 2023. The poker-chip experiment of non-crystallizable elastomers. In preparation.

[19] Guo, J., Ravi-Chandar, K., 2023. On crack nucleation and propagation in elastomers: I. In situ optical and X-ray experimental observations. International Journal of Fracture, Submitted. 

 

Attachment Size
Equation 1.png 2.69 KB
Equation 2.png 3.01 KB
sts.png 1.1 KB
Fsts.png 3.95 KB
sdiag.png 3.27 KB
FDP.png 15.07 KB
Invariants.png 7.47 KB
Fig1.png 703.54 KB
s1.png 837 bytes
s2.png 976 bytes
s3approx0.png 1.72 KB
s1s2s3.png 2.29 KB
Fig2.png 237.72 KB
Fig3.png 55.14 KB
a.png 724 bytes
w.png 831 bytes
l.png 567 bytes
Gc.png 1.17 KB
Fig4.png 18.28 KB
Fig5.png 783.95 KB
h.png 790 bytes
P.png 802 bytes
DoverH.png 1.67 KB
sbs.png 1.12 KB
shs.png 1.15 KB
F0shs.png 4.26 KB
s1s2s3PK.png 2.22 KB