Skip to main content

orthotropic

Submitted by vbabbas on

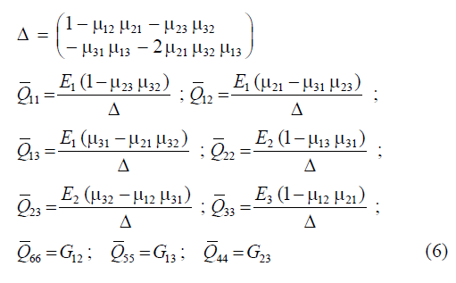
hello all.

I work on the plates laminate orthotropic, in the calculation of the constatnte of rigidities I found two matrices of rigidity which are mantionent on the two figures following:

somebody can explain to me which is the matrix right, and thank you by advance.

Attachment Size
image de l'aricle 13.54 KB
image in the reference of article 20.42 KB