Skip to main content

Journal Club for May 2018: Icephobic Materials

Submitted by Jianying on

Icephobic Materials

Yizhi Zhuo, Jianying He

NTNU Nanomechanical Lab, Norwegian University of Science and Technology (NTNU)

 

Ice accretion on surfaces of infrastructures, transportation vehicles and many others can result in severe damages, large-scale extreme examples are the Chinese winter storms in 2008 and the Northeastern United States blizzard in 1978. The traditional de-icing methods, including active heating, usage of anti-freeze liquid or salt, are costly and environmentally harmful [1-3]. It is widely accepted that a new generation of passive anti-icing surfaces and coatings hold a promise [2-4]. The superhydrophobic surfaces (SHS), surfaces with low surface energy as well as micro- and/or nanotopography, have been widely investigated due to their icephobic potential of repelling coming water droplets, delaying ice nucleation and reducing ice adhesion strength [4-12]. However, this type of surfaces were proven to fail their icephobicity in high humidity atmosphere. The SHS cannot avoid moisture condensation in their surface micro- and/or nanotexture, which leads to the wetting transition from Cassie-Baxter state to Wenzel state, as shown in Figure 1, and finally a catastrophic increase in ice adhesion strength [13-17]. This suggests that SHS is not always icephobic. Furthermore, since ice formation on the surface was proven to be inevitable under harsh environment, numbers of studies have been devoted to develop surfaces with low ice adhesion strength (<100 kPa, the ice adhesion strength for common outdoor steel or aluminium surfaces is around 600-1000 kPa) rather than SHS [17-24]. 

  

Figure 1 Schematic of Cassie-Baxter state and Wenzel state.

 

1. Ice adhesion strength

Ice adhesion is the adhesion between ice and substrate. The ice can be shed from the surface by natural force, such as gravity, wind force, vibration, if the ice adhesion is low enough. According to Menini et al [25], there are four parameters contribute to the ice adhesion, including electrostatic forces, hydrogen bonding, van der Waals forces and mechanical adhesion.

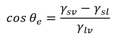
Adhesion between two materials is referred to as the work of adhesion Wa, which corresponds to the change in free energy when two separated surfaces are created for a given system [25]. Defined by the Dupré equation, Wa is the negative change of Helmholtz-Gibbs free energy per unit area of interface between two phases across a plane boundary without change in area [26]. For liquid-solid-vapor system (Figure 2), it can be described by:

where ΔF is the free energy change when 1 cm2 of the interface between solid s and liquid l is created out of 1 cm2 of free surface of solid s and 1 cm2 of free surface of liquid lγsvγlv and γsl are the surface tensions of the solid, liquid and solid-liquid interface, respectively.

 

 

Figure 2 Schematic representation of surface free energies at a triple phase system. 

The relation between equilibrium contact angle θe and the surface tensions can be expressed by Young’s equation: 

 

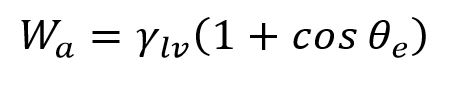
Then, the work of adhesion Wa could be given by Young- Dupré equation:

 

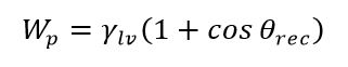
This equation links the work of adhesion Wa and equilibrium contact angle θe. It should be noted that Wa is equilibrium work of adhesion rather than the actual work required to separate a liquid from a surface, since the energy needed to separate surfaces is greater than that gained by bringing them together [18,19]. According to Gao and McCarthy’s theory [27,28], the practical work of adhesion Wp could be determined by the receding contact angle θrec using:

 

When the liquid water turns into solid ice, the parameters contributing to the adhesion would not change except mechanical adhesion. Hence ice adhesion might also correlate strongly with the receding contact angle. Meuler et al [18,29] investigated the relationships between water wettability and ice adhesion strength on nominally smooth bare and coated steel discs and found that the ice adhesion strength varies nearly linearly with the interaction parameter (1 + cos θrec) that scales with the practical work of adhesion for liquid water (Figure 3).  

Figure 3 Average strengths of ice adhesion measured at -10 °C for bare steel and steel coated with 21 different polymeric materials plotted against the water contact angle parameter (1 + cos θrec) [29].

The above correlation shown in Figure 3 has important implication for the design of icephobic surfaces because it suggests that further feasible reductions in ice adhesion require surface with large receding contact angle. It is worth noting that this relationship is examined on nominally smooth surfaces and there is no or just a small mechanical force. Furthermore, the only known approach for increasing the receding contact angle above 120° and thus further reducing the ice adhesion strength is to incorporate topographical surface features. However, the surface textures will result in mechanical interlocking under Wenzel state, which will boost the ice adhesion and make the ice adhesion disobey the above correlation.

Nosonovsky and Hejazi [17,19] studied the ice adhesion on superhydrophobic surfaces, assumed that ice detaches from the solid surface through fracture, which is different from the dewetting mechanism (Figure 4). Fracture may occur either within the ice itself when the ice adhesion strength is strong or at the substrate-ice interface if cracks are present. There are two types of cracks in de-icing, termed mode I and mode II, which correspond to normal and shear loading respectively. The failure stress τ can be express as:

 

where E is Young’s modulus, Gc is surface energy of the crack and equal to practical work of adhesion Wp, and a is the initial crack length. According to this equation, they conclude that the state of the ice and superhydrophobic surface can affect the crack opening energy. Thus ice adhesion strength relates to not only the receding contact angle, but also the initial crack length. The Cassie wetting state can decrease the shear strength due to the voids between the solid surface and water/ice, which can serve as microcracks (stress concentrators) and increase the initial crack length a. Consequently, some superhydrophobic surfaces can have strong ice adhesion if they do not provide sufficiently large voids at the interface [17]. 

 

Figure 4 Normal (red) and shear (black) forces during shear loading of (a) water droplet and (b) ice frozen droplet on a flat and (c) textured (Cassie state) surface in the regime of the tangential and normal loading [17].

The large difference in elastic moduli for ice and soft surfaces results in a mismatch in strain under stress when a force acts to remove ice. The mismatch in strain will make the ice separate from soft surfaces, thus lowering the ice adhesion. Wang et al [22] reported that ice adhesion on soft materials not only relate to the work of adhesion, but also the coating thickness and probe speed (Figure 5). The relationship between ice adhesion τ and thickness t can be written as:

 

where Wa and E is the work of adhesion and elastic modulus respectively. As shown in Figure 6, the mismatch in modulus leads to stress building up at the interface, and thicker coating facilitates lager vertical displacement in the same modulus. Then the lager displacements will induce adhesion failure on soft surface. This relationship implicated that increasing the mismatch between the coating and ice may result in very low ice adhesion strength. 

From the above relationships, we can find that the ice adhesion strength (τ) may be proportional to work of adhesion (Wa), and also proportional to the root of work of adhesion (Wa1/2). It seems the physical properties of the coating will dominate the relationship, further work can be focused on this point. 

  

Figure 5 (A) Ice adhesion (Ps, kPa) as a function of 1/t1/2 with probe speeds 0.1, 0.05, and 0.025 mm/s. (B) Trend lines are for the linear section in (A) [22].

 

Figure 6 Schematic diagram demonstration of stress building up at the interface plane and/or the front line or point during removal of a rigid, bonded object (ice) from a soft coating [22].

 

2. Designs to achieve ultra-low ice adhesion strength

So far, there are several designs to achieve ultra-low ice adhesion strength, including the slippery liquid-infused porous surfaces (SLIPS) [23], low-modulus materials [15,30], and macro-crack initiator surfaces (MACI) [31].

SLIPS had achieved ultralow ice adhesion strengths of ∼15, 1.7, and 0.4 kPa in different studies [24,32,33]. The icephobicity of the SLIPS was enabled by the existence of lubricating oil film at the ice-contacting interface, inspired by the Nepenthes pitcher plant, as shown in Figure 7 [23].

 

Figure 7 Schematics showing the fabrication of a SLIPS [23].

Low-modulus materials demonstrated ultralow ice adhesion strength of 0.2, and 5.2 kPa [15,30]. The low ice adhesion strength on these low-modulus surfaces was attributed to the voids formed at the interface, which can serve as fracture initiators favouring adhesive failure under shearing forces [15,30,34,35].

Most recently, a novel integrated macro-crack initiator (MACI) mechanism combining nano-crack and micro-crack initiators have been presented [31], as shown in Figure 8. MACI provides a new approach to designing super-low ice adhesion surfaces by introducing sub-structures into smooth polydimethylsiloxane coatings. The resulted deformation incompatibility maximizes the total crack length at the interface and bring the ice adhesion strength down to super-low regime (below 10 kPa). Such surface reached an ultra-low ice adhesion of 5.7 kPa.

 

Figure 8 Multiscale crack-initiator mechanisms at an ice-substrate interface [31].

 

3. Durability of icephobic materials

In addition to reducing the ice adhesion strength, prolonged service life time is desired for the practical use of these icephobic surfaces, because of the harsh environmental conditions involved in each specific application, such as wings of air-craft, wind turbines, solar panels, power lines, automobiles and roofs of any structures [4]. Though SLIPS show very low ice adhesion strength, the icephobicity will degrade gradually along with the depletion of the lubricant via evaporation or removing away by water droplets or forming ice [15]. For low-modulus materials and MACI, they require extremely low elastic moduli to achieve significant icephobicity. Yet, these extremely soft surfaces are not mechanically robust.35 Short lifespans of these materials limit their applications. In order to enhance the mechanical durability of icephobic surfaces, self-healing function has been introduced into this field, as shown in Figure 9 [36]. The material showed great potentials for anti-icing applications with an ultralow ice adhesion strength of 6.0±0.9 kPa, outperforming many other icephobic surfaces. The material also exhibited extraordinary durability, showing a very low ice adhesion strength of ~12.2 kPa after 50 icing/deicing cycles. Most importantly, the material demonstrates self-healing from mechanical damages in a sufficiently short time, which sheds light on the longevity of icephobic surface in practical applications. 

Figure 9 Schematic of self-healing icephobic materials [36].

 

References

1.  Mishchenko, L.; Hatton, B.; Bahadur, V.; Taylor, J. A.; Krupenkin, T.; Aizenberg, J., Design of ice-free nanostructured surfaces based on repulsion of impacting water droplets. ACS Nano 2010, 4 (12), 7699-707.

2.  Kreder, M. J.; Alvarenga, J.; Kim, P.; Aizenberg, J., Design of anti-icing surfaces: smooth, textured or slippery? Nature Reviews Materials 2016, 1 (1), 15003.

3.  Liu, B.; Zhang, K.; Tao, C.; Zhao, Y.; Li, X.; Zhu, K.; Yuan, X., Strategies for anti-icing: low surface energy or liquid-infused? RSC Adv. 2016, 6 (74), 70251-70260.

4.  Sojoudi, H.; Wang, M.; Boscher, N. D.; McKinley, G. H.; Gleason, K. K., Durable and scalable icephobic surfaces: similarities and distinctions from superhydrophobic surfaces. Soft Matter 2016, 12 (7), 1938-63.

5.  Maitra, T.; Tiwari, M. K.; Antonini, C.; Schoch, P.; Jung, S.; Eberle, P.; Poulikakos, D., On the nanoengineering of superhydrophobic and impalement resistant surface textures below the freezing temperature. Nano Letters 2014, 14 (1), 172-182.

6.  Wen, M.; Wang, L.; Zhang, M.; Jiang, L.; Zheng, Y., Antifogging and Icing-Delay Properties of Composite Micro- and Nanostructured Surfaces. ACS Applied Materials & Interfaces 2014, 6 (6), 3963-3968.

7.  Boinovich, L.; Emelyanenko, A. M.; Korolev, V. V.; Pashinin, A. S., Effect of wettability on sessile drop freezing: when superhydrophobicity stimulates an extreme freezing delay. Langmuir 2014, 30 (6), 1659-68.

8.  Maitra, T.; Jung, S.; Giger, M. E.; Kandrical, V.; Ruesch, T.; Poulikakos, D., Superhydrophobicity vs. Ice Adhesion: The Quandary of Robust Icephobic Surface Design. Advanced Materials Interfaces 2015, 2 (16), 1500330.

9.  Dotan, A.; Dodiuk, H.; Laforte, C.; Kenig, S., The relationship between water wetting and ice adhesion. J. Adhes. Sci. Technol. 2009, 23 (15), 1907-1915.

10.       Tang, Y.; Zhang, Q.; Zhan, X.; Chen, F., Superhydrophobic and anti-icing properties at overcooled temperature of a fluorinated hybrid surface prepared via a sol-gel process. Soft Matter 2015, 11 (22), 4540-4550.

11.       Zhan, X.; Yan, Y.; Zhang, Q.; Chen, F., A novel superhydrophobic hybrid nanocomposite material prepared by surface-initiated AGET ATRP and its anti-icing properties. Journal of Materials Chemistry A 2014, 2 (24), 9390-9399.

12.       Wang, L.; Gong, Q.; Zhan, S.; Jiang, L.; Zheng, Y., Robust Anti-Icing Performance of a Flexible Superhydrophobic Surface. Adv Mater 2016, 28 (35), 7729-35.

13.       Zhu, L.; Shi, P.; Xue, J.; Wang, Y.; Chen, Q.; Ding, J.; Wang, Q., Superhydrophobic stability of nanotube array surfaces under impact and static forces. ACS Appl Mater Interfaces 2014, 6 (11), 8073-9.

14.       Bharathidasan, T.; Kumar, S. V.; Bobji, M. S.; Chakradhar, R. P. S.; Basu, B. J., Effect of wettability and surface roughness on ice-adhesion strength of hydrophilic, hydrophobic and superhydrophobic surfaces. Appl. Surf. Sci. 2014, 314 (0), 241-250.

15.       Golovin, K.; Kobaku, S. P.; Lee, D. H.; DiLoreto, E. T.; Mabry, J. M.; Tuteja, A., Designing durable icephobic surfaces. Sci Adv 2016, 2 (3), e1501496.

16.       Chen, J.; Liu, J.; He, M.; Li, K.; Cui, D.; Zhang, Q.; Zeng, X.; Zhang, Y.; Wang, J.; Song, Y., Superhydrophobic surfaces cannot reduce ice adhesion. Applied Physics Letters 2012, 101 (11), 111603.

17.       Nosonovsky, M.; Hejazi, V., Why superhydrophobic surfaces are not always icephobic. ACS Nano 2012, 6 (10), 8488-8491.

18.       Meuler, A. J.; Smith, J. D.; Varanasi, K. K.; Mabry, J. M.; McKinley, G. H.; Cohen, R. E., Relationships between Water Wettability and Ice Adhesion. ACS Applied Materials & Interfaces 2010, 2 (11), 3100-3110.

19.       Hejazi, V.; Sobolev, K.; Nosonovsky, M., From superhydrophobicity to icephobicity: Forces and interaction analysis. Sci. Rep. 2013, 3.

20.       Sojoudi, H.; McKinley, G. H.; Gleason, K. K., Linker-free grafting of fluorinated polymeric cross-linked network bilayers for durable reduction of ice adhesion. Mater. Horiz. 2015, 2 (1), 91-99.

21.       Kulinich, S. A.; Honda, M.; Zhu, A. L.; Rozhin, A. G.; Du, X. W., The icephobic performance of alkyl-grafted aluminum surfaces. Soft Matter 2015, 11 (5), 856-861.

22.       Wang, C.; Fuller, T.; Zhang, W.; Wynne, K. J., Thickness dependence of ice removal stress for a polydimethylsiloxane nanocomposite: Sylgard 184. Langmuir 2014, 30 (43), 12819-26.

23.       Wong, T.-S.; Kang, S. H.; Tang, S. K. Y.; Smythe, E. J.; Hatton, B. D.; Grinthal, A.; Aizenberg, J., Bioinspired Self-Repairing Slippery Surfaces with Pressure-Stable Omniphobicity. Nature 2011, 477 (7365), 443-447.

24.       Kim, P.; Wong, T.-S.; Alvarenga, J.; Kreder, M. J.; Adorno-Martinez, W. E.; Aizenberg, J., Liquid-infused nanostructured surfaces with extreme anti-ice and anti-frost performance. ACS Nano 2012, 6 (8), 6569-6577.

25.       Menini, R.; Farzaneh, M., Advanced Icephobic Coatings. Journal of Adhesion Science and Technology 2011, 25 (9), 971-992.

26.       Lee, L.-H., Roles of molecular interactions in adhesion, adsorption, contact angle and wettability. Journal of Adhesion Science and Technology 1993, 7 (6), 583-634.

27.       Gao, L.; McCarthy, T. J., Wetting 101°. Langmuir 2009, 25 (24), 14105-14115.

28.       Gao, L.; McCarthy, T. J., Teflon is hydrophilic. Comments on definitions of hydrophobic, shear versus tensile hydrophobicity, and wettability characterization. Langmuir 2008, 24 (17), 9183-8.

29.       Meuler, A. J.; McKinley, G. H.; Cohen, R. E., Exploiting Topographical Texture to Impart Icephobicity. ACS Nano 2010, 4 (12), 7048-7052.

30.       Beemer, D. L.; Wang, W.; Kota, A. K., Durable gels with ultra-low adhesion to ice. J. Mater. Chem. A 2016, 4 (47), 18253-18258.

31.       He, Z.; Xiao, S.; Gao, H.; He, J.; Zhang, Z., Multiscale crack initiator promoted super-low ice adhesion surfaces. Soft Matter 2017, 13 (37), 6562-6568.

32.       Wang, Y.; Yao, X.; Chen, J.; He, Z.; Liu, J.; Li, Q.; Wang, J.; Jiang, L., Organogel as durable anti-icing coatings. Science China Materials 2015, 58 (7), 559-565.

33.       Urata, C.; Dunderdale, G. J.; England, M. W.; Hozumi, A., Self-lubricating organogels (SLUGs) with exceptional syneresis-induced anti-sticking properties against viscous emulsions and ices. Journal of Materials Chemistry A 2015, 3 (24), 12626-12630.

34.       Chaudhury, M. K.; Kim, K. H., Shear-induced adhesive failure of a rigid slab in contact with a thin confined film. The European physical journal. E, Soft matter 2007, 23 (2), 175-83.

35.       Golovin, K.; Tuteja, A., A predictive framework for the design and fabrication of icephobic polymers. Science Advances 2017, 3 (9), e1701617.

36.       Zhuo, Y.; Hakonsen, V.; He, Z.; Xiao, S.; He, J.; Zhang, Z., Enhancing the Mechanical Durability of Icephobic Surfaces by Introducing Autonomous Self-Healing Function. ACS Appl Mater Interfaces 2018.

Attachment Size
Fig1.png 116.57 KB
Fig2.png 8.9 KB
Fig3.png 40.19 KB
Fig4.png 193.22 KB
Fig5.png 84.3 KB
Fig6.png 170.16 KB
Fig7.png 314.89 KB
Fig8.png 105.31 KB
Fig9.png 572.75 KB
Eq1.JPG 13.75 KB
Eq2.JPG 12.73 KB
Eq3.JPG 12.9 KB
Eq4.JPG 10.56 KB
Eq5.JPG 16.63 KB
Eq6.JPG 11.46 KB

Dear Jianying,

Very exciting and inspiring review! I am very interested in your fantastic work about the macro-crack initiator (MACI) approach. In this approach, you first coated the polydimethylsiloxane film and then introduced some specific sub-structures to the film. Such sub-structure can induce the formation of macroscopic cracks between ice and film due to deformation incapability. I have two following questions about details of sub-structures,

(1) Does the film thickness affect the ice adhesion?

(2) What is the featured size of sub-structures corresponding to the optimal anti-icing?

Thu, 05/10/2018 - 09:15 Permalink

Dear Xiaoyan,

Thank you for the discussion. The film thickness has a significant effect on the ice adhesion strength via t-1/2. Our current results demonstrate that the PDMS without sub-substructures has a thickness dependent ice adhesion strength when increasing film thickness to around 1 mm. Above that, thickness dependency disappears (He et al, Soft Matter, 2018, 10.1039/C8SM00820E). As for optimal dimension of sub-structures, we found the holes with diameter of 1 mm and height of 3.5 μm show lowest ice adhesion 5.7 kPa, of course combining with film thickness and weight ratio of PDMS, but without lubricant oil. Further investigation of sub-structure size is needed. 

Sun, 05/13/2018 - 19:15 Permalink

Dear Jianying,

Thank you very much for your reply. It is indeed intriguing that there exists a critical size corresponding to the optimal ice adhesion. I just read your paper which is a fantastic work. I have one more question: Can the PDMS film with sub-structures be synthesized as the large-area coating? What’s the large size of the PDMS film with sub-structures? If it works for the large-area coating, it might be widely used for the practical applications of anti-icing.

Tue, 05/15/2018 - 13:11 Permalink

Dear Xiaoyan,

Thank you for the point. The scale of PDMS with ordered substructures is limited by the mask size, so it is not easy to get large scale coating by the current technology. What we are doing now is to synthesize porous PDMS with randomly distributed pores, tuning pore size and porosity, and integrate the porous layer to smooth PDMS to realize similar MACI mechanism, see Soft Matter 10.1039/C8SM00820E. In that way, we can synthesize the the large scale coating for practical applications.

Sun, 05/20/2018 - 13:18 Permalink