Skip to main content

Isotropic hardening under cyclic loading

Submitted by Rajwinder on

Dear all,

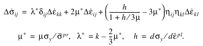
I need to understand the basic derivation of isotropic hardening model under cyclic loading. I am only having the end result for this model which I have taken from the abaqus manual. The end result is as shown in the attached file.

I want to implemet this model in abaqus using umat. Please help me in understanding the detailed derivation of this model which is valid under cyclic loading. You can help me by providing necessary web links, sharing your notes or by suggesting relavant books

Thanks in advance

Rajwinder Singh

Attachment Size
End result equation 16.1 KB

Now I am able to open this file. The isotropic hardening formulation and umat code are available in this file. But the problem is I want to understand the detailed derivation of this formulation. Please have a look if you can help or suggest me some relevant book.

With warm regards

RAjwinder Singh

Tue, 12/15/2015 - 05:08 Permalink

Look up

COMPUTATIONAL METHODS FOR PLASTICITY
THEORY AND APPLICATIONS
authors:
EA de Souza Neto
D Peric
DRJ Owen

Isotropic hardening is covered in this book , though I did not find that equation in exactly this form when browsing the book

Good luck

Frank

Tue, 12/15/2015 - 21:10 Permalink