Dear friends,
Hi. I'm working on multiscale modeling of soft tissues. For micromechanical modeling of the tissue i consider an RVE with sinusoidal edges as figure 1.
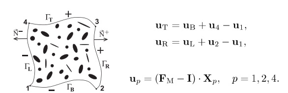
I imposed periodic boundary conditions on the RVE using corner nodes as master nodes and define the displacement of the other nodes on the boundary related to these master nodes displacements using constraint equations as figure 2.
where FM and Xp are macroscopic deformation gradient tensor and master node initial coordinates,respectively.
when I consider both of fiber and matrix isotropic material (identical properties) the RVE is not straightening even for large tensions. Furthermore, when I use smaller values of young modulus the problem is also exist. In some cases, some of the nodes are going up (positive displacement) insted going down.
Is this behaviour natural????
Is the periodic boundary condition which i implemented is correct?
| Attachment | Size |
|---|---|
| figure1. Considered RVE | 58.39 KB |
| Figure 2. Periodic boundary condition | 29.8 KB |
Tutorials for Beginners in Multi-scale Structural Analysis
Computation of homogenized characteristics of composite material made of fiber embedded in a matrix