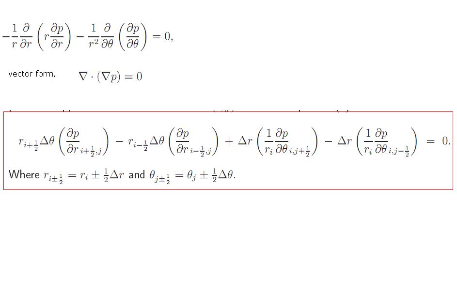
Submitted by ruzbeh on Tue, 03/29/2011 - 01:49 Reynolds can someone please help me how tos solve the vector form of reynolds equation in to line integratio using gauss theorem and then using piecewise approach to evaluate the equation boxed in the attachment. Attachment Size RE.JPG 36.11 KB Log in or register to post comments2958 views